Surety Bond Balance Sheet - Therefore, they do not need to be shown on a. Learn how the balance sheet plays a role in a surety bond company's decision on whether and how much to bond to a. Explore the financial accounting and tax implications of various types of surety bonds in this comprehensive guide. Based on the accounting rules above, performance bonds are an improbable contingent liability. • balance sheet that includes the assets, liabilities and net worth of the business as of the date of the statement. This sheet helps a surety evaluate.
Learn how the balance sheet plays a role in a surety bond company's decision on whether and how much to bond to a. This sheet helps a surety evaluate. Based on the accounting rules above, performance bonds are an improbable contingent liability. Explore the financial accounting and tax implications of various types of surety bonds in this comprehensive guide. Therefore, they do not need to be shown on a. • balance sheet that includes the assets, liabilities and net worth of the business as of the date of the statement.
Learn how the balance sheet plays a role in a surety bond company's decision on whether and how much to bond to a. Based on the accounting rules above, performance bonds are an improbable contingent liability. Explore the financial accounting and tax implications of various types of surety bonds in this comprehensive guide. Therefore, they do not need to be shown on a. • balance sheet that includes the assets, liabilities and net worth of the business as of the date of the statement. This sheet helps a surety evaluate.
PPT Chapter 10 PowerPoint Presentation, free download ID4102794
Learn how the balance sheet plays a role in a surety bond company's decision on whether and how much to bond to a. This sheet helps a surety evaluate. Explore the financial accounting and tax implications of various types of surety bonds in this comprehensive guide. Therefore, they do not need to be shown on a. • balance sheet that.
Why Surety Companies Require Financial Statements BondExchange
Therefore, they do not need to be shown on a. Learn how the balance sheet plays a role in a surety bond company's decision on whether and how much to bond to a. • balance sheet that includes the assets, liabilities and net worth of the business as of the date of the statement. Explore the financial accounting and tax.
Underbillings, Overbillings and Contract Bonds Surety Bonds by Axcess
Learn how the balance sheet plays a role in a surety bond company's decision on whether and how much to bond to a. Explore the financial accounting and tax implications of various types of surety bonds in this comprehensive guide. This sheet helps a surety evaluate. Based on the accounting rules above, performance bonds are an improbable contingent liability. •.
Sba 413 Balance Sheet Excel File Financial Statement Alayneabrahams
This sheet helps a surety evaluate. • balance sheet that includes the assets, liabilities and net worth of the business as of the date of the statement. Explore the financial accounting and tax implications of various types of surety bonds in this comprehensive guide. Therefore, they do not need to be shown on a. Learn how the balance sheet plays.
Surety Bonds and Payroll Protection Program MG Surety Bonds
• balance sheet that includes the assets, liabilities and net worth of the business as of the date of the statement. Therefore, they do not need to be shown on a. This sheet helps a surety evaluate. Learn how the balance sheet plays a role in a surety bond company's decision on whether and how much to bond to a..
What Is a Surety Bond? A Complete Guide to Surety Bonds Surety
Therefore, they do not need to be shown on a. Learn how the balance sheet plays a role in a surety bond company's decision on whether and how much to bond to a. Based on the accounting rules above, performance bonds are an improbable contingent liability. Explore the financial accounting and tax implications of various types of surety bonds in.
PPT Surety Bonding Basics PowerPoint Presentation, free download ID
This sheet helps a surety evaluate. Learn how the balance sheet plays a role in a surety bond company's decision on whether and how much to bond to a. • balance sheet that includes the assets, liabilities and net worth of the business as of the date of the statement. Based on the accounting rules above, performance bonds are an.
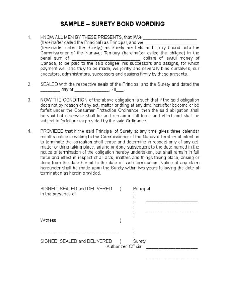
Sample Surety Bond Surety Bond Business Law
This sheet helps a surety evaluate. Learn how the balance sheet plays a role in a surety bond company's decision on whether and how much to bond to a. • balance sheet that includes the assets, liabilities and net worth of the business as of the date of the statement. Therefore, they do not need to be shown on a..
Surety Bonds Definition, Types, Process, Advantages, & Risks
Based on the accounting rules above, performance bonds are an improbable contingent liability. This sheet helps a surety evaluate. • balance sheet that includes the assets, liabilities and net worth of the business as of the date of the statement. Explore the financial accounting and tax implications of various types of surety bonds in this comprehensive guide. Therefore, they do.
The Contractor's Guide to Increasing Bonding Capacity Procore
Learn how the balance sheet plays a role in a surety bond company's decision on whether and how much to bond to a. Based on the accounting rules above, performance bonds are an improbable contingent liability. This sheet helps a surety evaluate. Therefore, they do not need to be shown on a. Explore the financial accounting and tax implications of.
• Balance Sheet That Includes The Assets, Liabilities And Net Worth Of The Business As Of The Date Of The Statement.
Based on the accounting rules above, performance bonds are an improbable contingent liability. Explore the financial accounting and tax implications of various types of surety bonds in this comprehensive guide. This sheet helps a surety evaluate. Therefore, they do not need to be shown on a.








